Rize’de o alanlar "kesin korunacak hassas alan" olarak ilan edildi
Türkiye'nin önemli doğal güzelliklerinden biri olan ve Rize'nin Çamlıhemşin ilçesi sınırları içerisinde yer alan Fırtına Deresi Etap 1 Doğal Sit Alanı, Cumhurbaşkanı kararıyla Kesin Korunacak Hassas Alan olarak tescil ve ilan edildi. Karar, Resmi Gazete'de yayımlanarak yürürlüğe girdi.
Cumhurbaşkanı Recep Tayyip Erdoğan imzasıyla yayımlanan 8182 Sayılı Karar ile Fırtına Deresi'nin koruma statüsü yeniden değerlendirildi ve alanın en üst koruma kategorisine alınması kararlaştırıldı.
Cumhurbaşkanı Kararı Resmi Gazete’de
Kararda şu ifadelere yer verildi:
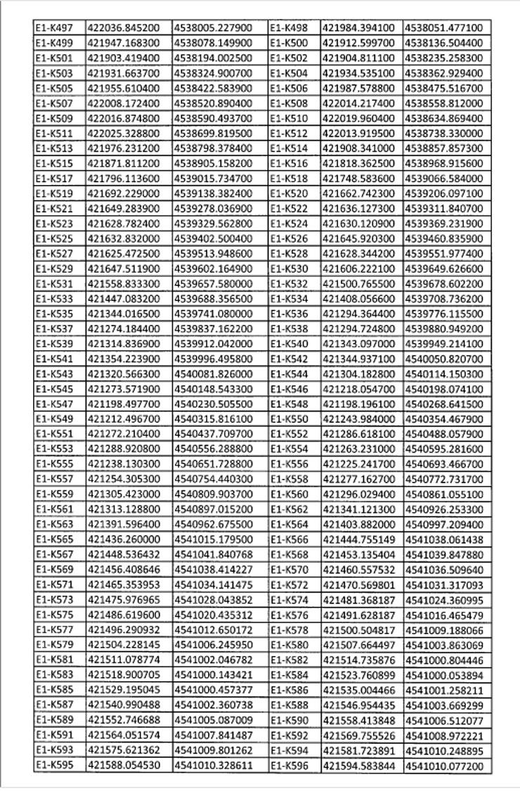
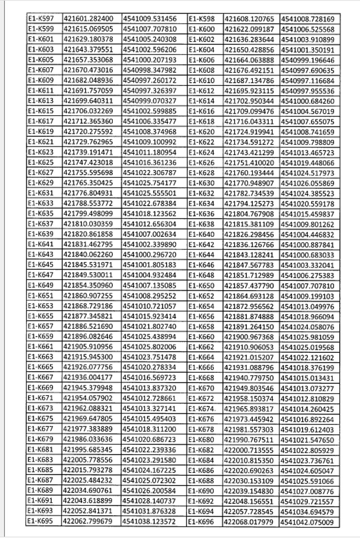
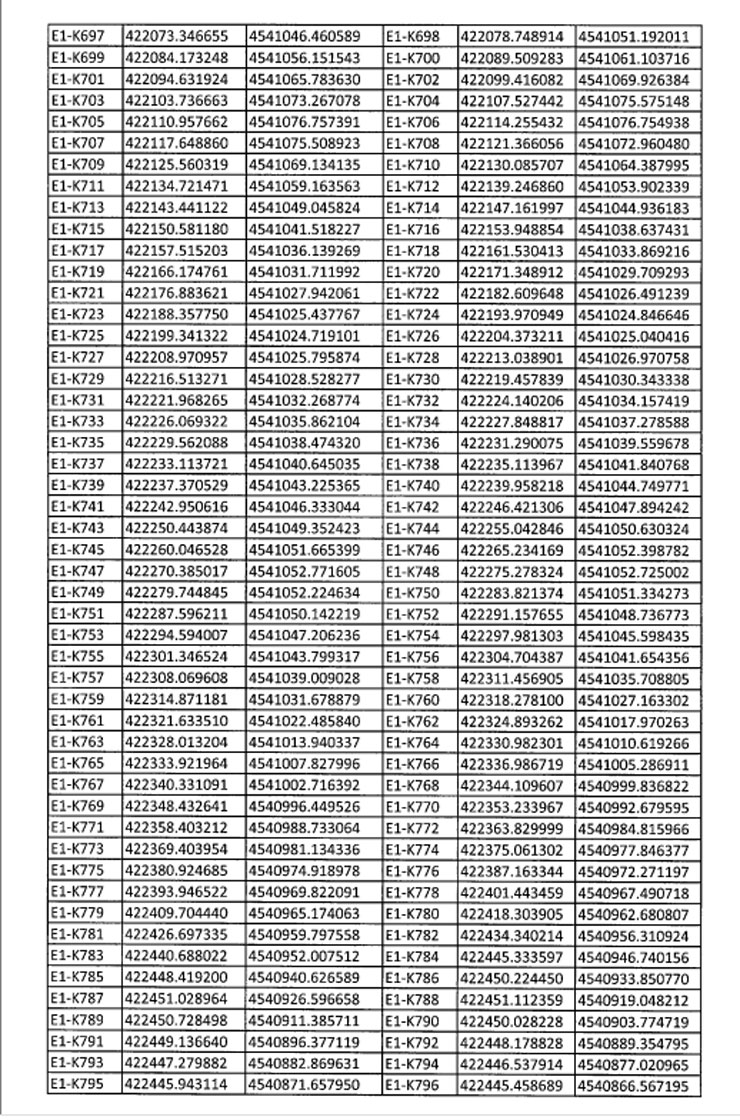
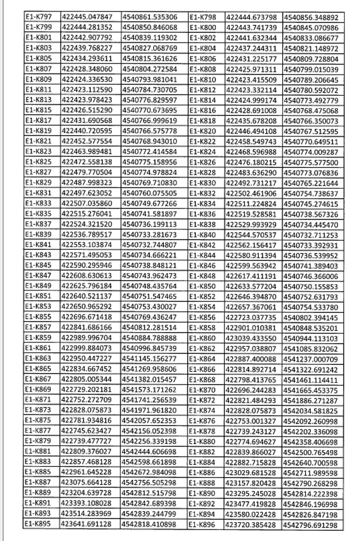
"Rize İli, Çamlıhemşin İlçesi sınırları içerisinde bulunan Fırtına Deresi Etap 1 Doğal Sit Alanının koruma statüsünün yeniden değerlendirilmesi sonucunda, ekli kroki ile listede sınır ve koordinatları gösterilen alanın kesin korunacak hassas alan olarak tescil ve ilan edilmesine, 1 sayılı Cumhurbaşkanlığı Kararnamesinin 109 uncu maddesi gereğince karar verilmiştir.”
Bu kararla birlikte, Fırtına Deresi'nin belirtilen alanı, doğal yapısının korunması ve sürdürülebilirliğinin sağlanması amacıyla en katı koruma tedbirlerinin uygulanacağı bir statüye kavuşmuş oldu.
'Kesin Korunacak Hassas Alan' Ne Anlama Geliyor?
Kesin Korunacak Hassas Alanlar, biyolojik çeşitliliğin, jeolojik yapının ve ekolojik dengenin bozulmaması için yapılaşmaya izin verilmeyen ve bilimsel amaçlar dışında hiçbir faaliyete müsaade edilmeyen bölgelerdir. Bu tescil, Fırtına Deresi'nin eşsiz doğal dokusunun gelecek nesillere aktarılması adına atılmış önemli bir adım olarak değerlendiriliyor.












Türkçe karakter kullanılmayan ve büyük harflerle yazılmış yorumlar onaylanmamaktadır.